Ch7. 이진 탐색
Ch7. 이진 탐색
1. 범위를 반씩 좁혀가는 탐색
순차 탐색
- 순차 탐색: 리스트 안에 있는 특정한 데이터를 찾기 위해 앞에서부터 데이터를 하나씩 차례대로 확인하는 방법(정렬되지 않은 리스트에서 데이터를 찾아야 할 때 이용)
- 이용 예시) 리스트에 특정 값의 원소가 있는지 체크할 때, count() 메서드
1
2
3
4
5
6
7
8
9
10
11
12
13
14
def sequential_search(n, target, array):
for i in range(n):
if array[i] == target:
return i + 1
print("생성할 원소 개수를 입력한 다음 한 칸 띄고 찾을 문자열을 입력하세요")
input_data = input().split()
n = int(input_data[0])
target = input_data[i]
print("앞서 적은 원소 개수만큼 문자열을 입력하세요. 구분은 띄어쓰기 한 칸으로 합니다.")
array = input().split()
print(sequential_search(n,target,array))
이진 탐색: 반으로 쪼개면서 탐색하기
- 이진 탐색: 배열 내부의 데이터가 정렬되어 있어야만 사용 가능. 탐색 범위를 절반씩 좁혀가며 데이터를 탐색하는 특징이 있다.
- 이용하는 변수 3개: 시작점, 끝점, 중간점
- 찾으려는 데이터와 중간점 위치에 있는 데이터를 반복적으로 비교
- O(logN) -> 원소가 평균적으로 절반. ```py
재귀 함수로 구현한 이진 탐색 소스코드
def binary_search(array, target, start, end): if start > end: return None mid = (start + end) // 2 #int() 넣어도 같은 역할 if array[mid] == target: return mid elif array[mid] > target: return binary_search(array, target, start, mid-1) else: return binary_search(array, target, mid + 1, end)
n, target = list(map(int, input().split())) array = list(map(int, input().split()))
result = binary_search(array, target, 0, n-1) if result == None: print(“원소가 존재하지 않습니다”) else: print(result+1)
1
2
3
4
5
6
7
8
9
10
11
12
13
14
15
16
17
18
19
20
21
22
```py
# 이진 탐색 소스코드 구현
def binary_search(array, target, start, end):
while start <= end:
mid = (start + end) // 2
if array[mid] == target:
return mid
elif array[mid] > target:
end = mid - 1
else:
start = mid + 1
return None
n, target = list(map(int, input().split()))
array = list(map(int, input().split()))
result = binary_search(array, target, 0, n-1)
if result == None:
print("원소가 존재하지 않습니다")
else:
print(result+1)
코딩 테스트에서의 이진 탐색
- 탐색 범위가 큰 상황에서의 탐색을 가정하는 문제가 많음
- 탐색 범위가 2,000만을 넘어가면 이진 탐색으로 접근!
- 1000만 단위 이상으로 넘어가면 이진 탐색과 같이 O(logN)의 속도를 내야하는 알고리즘을 떠올려야 문제를 풀 수 있는 경우가 많다는 점 기억!!
트리 자료구조
- 트리 자료구조: 데이터가 정렬되어 있음.
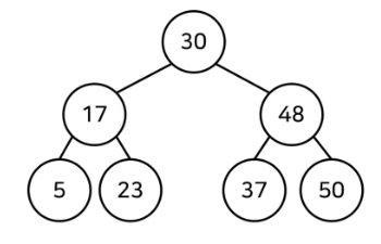
이진 탐색 트리
- 이진 탐색 트리: 이진 탐색이 동작 할 수 있도록 고안된, 효율적인 탐색이 가능한 자료구조
- 이진 탐색 트리의 특징:
- 부모 노드보다 왼쪽 자식 노드가 작다
- 부모 노드보다 오른쪽 자식 노드가 크다
=> “왼쪽 자식 노드 < 부모 노드 < 오른쪽 자식 노드”가 성립!
빠르게 입력받기
- 데이터의 개수가 1,000만 개를 넘어가거나 탐색 범위의 크기가 1,000억 이상이라면 이진 탐색 알고리즘을 의심!
- 입력 데이터가 많을 때 -> sys 라이브러리의 readline() 함수를 이용!(입력시)
- rstrip(): readline()으로 입력하면 입력 후 엔터가 줄 바꿈 기호로 입력됨. 이 공백 문자를 제거하는 역할
1 2 3 4
import sys input_data = sys.stdin.readline().rstrip() print(input_data)
- 입력 데이터가 많을 때 -> sys 라이브러리의 readline() 함수를 이용!(입력시)
This post is licensed under CC BY 4.0 by the author.


